Trong ngành cơ khí chính xác, việc đảm bảo độ chính xác trong từng chi tiết là yếu tố quan trọng quyết định chất lượng sản phẩm. Một trong những thiết bị hỗ trợ không thể thiếu giúp nâng cao độ chính xác và tối ưu hiệu suất làm việc chính là thước quang máy phay thương hiệu Jenix. Vậy thước quang là gì? Và tại sao nó lại cần thiết cho máy phay? Cùng tìm hiểu ngay sau đây!
1.Thước quang máy phay là gì?
Thước quang máy phay là thiết bị đo lường giúp xác định vị trí trục X, Y, Z của máy phay đứng vạn năng, mát phay ngang vạn năng, máy phay giường,.. với độ chính xác cao. Thiết bị này hoạt động dựa trên nguyên lý quang học, sử dụng các cảm biến đọc tín hiệu phản xạ từ vạch chia trên thước để hiển thị vị trí trên màn hình số.
Thước quang Jenix cho máy phay là sản phẩm hỗ trợ trong ngành cơ khí giúp máy tăng độ chính xác, hiện đang là sản phẩm được tin dùng và đánh giá cao nhất hiện nay tại thị trường Việt Nam.


Thước quang Jenix lắp trên máy phay Ying Shun- Model YSM-26SHB
2.Lợi ích khi lắp đặt thước quang Jenix Hàn Quốc cho máy phay
Ứng dụng thước quang Jenix cho máy phay giúp mang lại hiệu quả rất cao.
Tăng độ chính xác: Giảm thiểu sai số, đặc biệt quan trọng trong gia công chi tiết phức tạp.
Dễ dàng theo dõi vị trí trục: Người vận hành có thể kiểm soát và điều chỉnh các thông số nhanh chóng.
Nâng cao năng suất làm việc: Giảm thời gian đo đạc thủ công, tối ưu quy trình gia công, giảm sự mệt nhọc của người vận hành.
Độ bền cao: Thước quang chất lượng tốt có khả năng chống bụi bẩn, chống nước, chịu được môi trường làm việc khắc nghiệt.
3.Cách lựa chọn thước quang Jenix Hàn Quốc cho máy phay phù hợp
Thước quang máy phay thương hiệu Jenix Hàn Quốc hiện đang là dòng thước quang được tin dùng và phổ biến nhất trên thị trường Việt Nam. Có 3 cách lựa chọn thước quang máy phay phổ biến: theo hành trình, theo độ phân giải và theo hãng sản xuất.
3.1. Cách chọn thước quang Jenix cho máy phay theo hành trình

Các loại thước quang Jenix Hàn Quốc
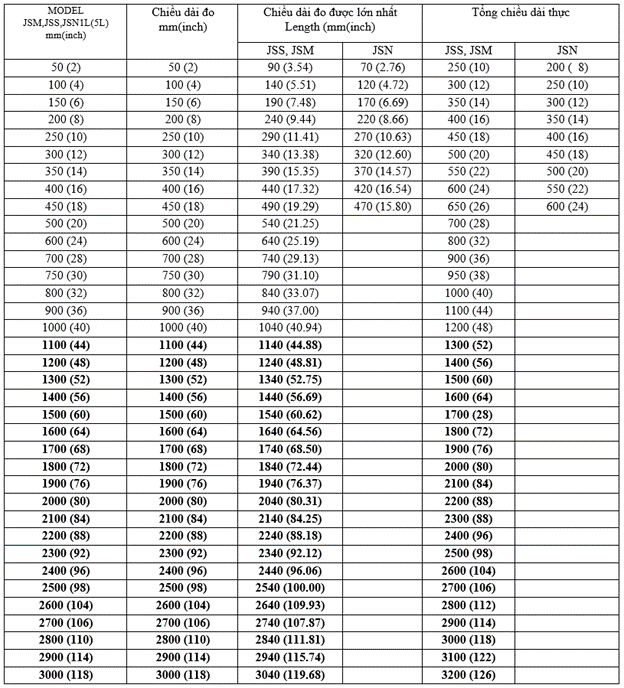
Để lựa chọn thước Jenix Hàn Quốc cho máy phay, khách hàng cần lưu ý đến thông số quan trọng là hành trình thước. Lựa chọn thước quang Jenix cho máy phay theo hành trình trục X, Y, Z, phải đảm bảo thước quang có giá trị bằng hoặc lớn hơn hành trình của máy. Hãy đo chính xác chiều dài hành trình của từng trục máy phay (X, Y, Z) để chọn thước quang có kích thước phù hợp. Nếu chọn thước quá ngắn, sẽ không đo được hết hành trình, còn quá dài có thể gây vướng và khó lắp đặt.
Ví dụ hành trình của máy hành trình của máy là 500mm ta chọn thước quang Jenix JSS5L-500 hoặc JSM5L-500.
| JSN/JSS/JSM | 0.1µm | 1µm & 0.5 µm | 5 µm | LF (NC scale)- Line Driver |
|
Tín hiệu đầu ra | |
| ||
| Phương pháp đo lường | Bằng thước đo có bước răng 20㎛ | |||
| Độ chính xác | 2+2L/1000 mm | 2+2L/1000 mm | 3+3L/1000 mm | 2+2L/1000 mm |
| Độ phân giải (mm) | 1/10000 | 1/1000 & 5/10000 | 5/1000 | 5/1000 or 1/1000 |
| Xung đầu ra | 2500 xung/mm | 250 xung/mm | 50 xung/mm | 250 xung/mm |
| Tốc độ di chuyển lớn nhất | 9m/phút | 36m/ phút | 60m/ phút | 36m/ phút |
| Thu thập tín hiệu | Một xung tham chiếu 25mm/A reference pulse every 25mm | |||
| Vạch chia | 0.02mm | |||
| Độ rung lớn nhất | 30㎨ (3G) | |||
| Lực di chuyển | ≤5N | |||
| Nhiệt độ môi trường làm việc | -5℃ ~ 45℃ | |||
| Nhiệt độ bảo quản | -20℃ ~ 70℃ | |||
| Chiều dài cáp tối đa | 25m (tiêu chuẩn 3m) | |||
| Điện áp | -5V, ±5%, 150mA | |||
| Chứng chỉ | Tương đương IP53 | |||
| Chiều dài đo | 50mm ~ 3000mm | |||
3.2. Cách chọn thước quang Jenix cho máy phay theo độ phân giải
Độ phân giải phổ biến của thước quang máy phay là 5µm và 1µm. Nếu gia công các chi tiết yêu cầu độ chính xác cực cao, ví dụ như khuôn mẫu hoặc linh kiện điện tử thì nên chọn thước có độ phân giải 1µm. Ngược lại, với các chi tiết lớn và không cần độ chính xác quá cao, thước 5µm sẽ là lựa chọn tiết kiệm và tối ưu nhất.
3.3. Cách chọn thước quang Jenix cho máy phay theo hãng sản xuất
Trên thị trường có nhiều thương hiệu thước quang, nhưng nên ưu tiên những cái tên đã được khẳng định chất lượng như thước quang Jenix, Sino, Sterling, hay Mitutoyo. Thước quang máy phay thương hiệu Jenix nổi bật với độ bền cao, khả năng chống bụi bẩn, chống nước tốt và giá thành hợp lý, là lựa chọn hàng đầu cho nhiều xưởng gia công.

Hình ảnh bộ thước quang và màn hình hiển thị Jenix Hàn Quốc
Thước quang Jenix model JSS-5L hoặc model JSM-5L sử dụng cho máy phay đứng, máy phay ngang, máy phay vạn năng có độ phân giải 0.005mm (5/1000) thường được gắn trên 3 trục X, Y, Z

Bảng kích thước thước quang Jenix Hàn Quốc
4.Lắp đặt thước quang Jenix Hàn Quốc cho máy phay
Lắp đặt thước quang Jenix cho máy phay không khó khăn nhưng cần chú ý cẩn thận, tỉ mỉ một chút trong quá tình căn chỉnh và rà gá thước là có thể hoàn thành lắp đặt một cách dễ dàng.
Cơ bản lắp đặt thước quang cho máy phay bao gồm 5 bước sau:
Bước 1: Chuẩn bị thước quang phù hợp với hành trình các trục của máy, để đảm bảo sao cho khi di chuyển hết hành trình của máy thì thước vẫn còn dư 1 khoảng.
VD: hành trình trục X của máy là 850mm => chọn hành trình thước quang là 900mm
Bước 2: Chuẩn bị dụng cụ lắp đặt thước: máy khoan, taro, mũi khoan, bulong, ốc, đồng hồ so…
Bước 3: Đặt thước vào vị trí dự kiến lắp, căn chỉnh hành trình máy sao cho dịch chuyển hết hành trình đảm bảo đầu đọc và thước còn khoảng dư đều nhau ở hai đầu, lấy dấu khoan và taro
Bước 4: Lắp đặt thước và đầu đọc, căn chỉnh thước bằng đồng hồ so đảm bảo độ song song trên toàn hành trình
Căn chỉnh khoảng cách giữa đầu đọc và thước trong phạm vi cho phép của nhà sản xuất (khoảng cách thường từ 1mm-1.5mm), lắp màn hình và kết nối cáp
Bước 5: Đấu điện và dịch chuyển bàn máy để kiểm tra độ chính xác của thước
Dưới đây video chi tiết các bước cần thiết trong việc lặp đặt thước quang Jenix cho máy phay của công ty Á Châu:
Việc lắp đặt thước quang máy phay thương hiệu Jenix là một khoản đầu tư thông minh giúp tối ưu hóa quy trình gia công, nâng cao chất lượng sản phẩm và tăng năng suất làm việc. Nếu bạn đang tìm kiếm giải pháp để cải thiện độ chính xác cho máy phay của mình, đừng ngần ngại cân nhắc trang bị thước quang ngay hôm nay. Vui lòng liên hệ với chúng tôi qua số điện thoại công ty để được tư vấn và nhận báo giá tốt nhất. Hotline: 094 896 6655 hoặc email: attjsc@machinetools.com.vn

